Ir al contenido

Charla técnica | Comprensión del centro de fase de la antena y su cálculo

En el posicionamiento por satélite, las coordenadas calculadas originales son la ubicación del centro de fase de la antena GNSS (APC). En esta guía profundizaremos en qué es el centro de fase de la antena, cómo se calcula…

En el posicionamiento por satélite, las coordenadas calculadas originales son la ubicación del centro de fase de la antena GNSS (APC). Para determinar con precisión las coordenadas del punto medido, es esencial comprender la relación entre el APC y el punto medido y cómo calcular esta conversión. En esta guía, profundizaremos en qué es el centro de fase de la antena, cómo se calcula y por qué es importante para sus operaciones de campo.


¿Qué es el centro de fase de la antena?

El centro de fase de la antena (APC) se refiere al punto central de la distribución de fase de intensidad del campo eléctrico en el campo de radiación de una antena. Este es un parámetro crítico para medir el rendimiento de la antena, especialmente en aplicaciones de alta precisión como topografía GNSS, comunicaciones inalámbricas, radar y detección remota. La precisión de su posicionamiento y la estabilidad general del sistema depende en gran medida de comprender y determinar correctamente el APC.

El concepto de centro de fase de antena:

Cuando las ondas electromagnéticas irradian desde una antena, forman un frente de onda esférico a cierta distancia. El centro de esta esfera se considera el centro de fase equivalente de la antena. En un escenario ideal, este centro de fase sería un punto único y preciso desde el que se emiten todas las señales. Sin embargo, en la práctica, el centro de fase es un área más que un punto debido a las imperfecciones en el diseño de antenas del mundo real.

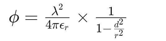
Fórmula de cálculo de la posición central de la fase de la antena:

Para convertir el APC al punto medido, podemos calcular la posición del centro de fase usando la siguiente fórmula:

  • φ: Distancia de desplazamiento del centro de fase.

  • λ: Longitud de onda de funcionamiento.

  • εr: Constante dieléctrica relativa.

  • d: Distancia del vértice de la antena al plano de referencia.

  • r: Resistencia a la radiación de la antena.


Calcular el centro de fase en productos SingularXYZ

Abreviaturas explicadas:

  • ARP: Punto de referencia de la antena: normalmente, aquí es donde la parte inferior de la antena del receptor se cruza con el eje central de la antena.

  • APC: Centro de fase de la antena: el punto central desde el cual la antena irradia sus señales, crucial para un cálculo preciso de la posición.

  • L1/L2: Centro de fase L1/L2: se refiere a los centros de fase para las bandas de frecuencia L1 y L2, importantes para mediciones GNSS de doble frecuencia.

  • h: Distancia desde ARP hasta la marca del receptor.

  • HL1, HL2: Distancia desde la marca del receptor hasta el centro de fase de las bandas de frecuencia L1, L2.

Dado que el ARP es normalmente el punto central de la parte inferior del receptor, es fácil convertirlo al punto de medición sumando la altura del poste de alcance al ARP. Así que aquí usaremos las series X1 e Y1 como ejemplos para ilustrar cómo convertir APC a ARP. Y el método para calcular el APC es ligeramente diferente entre ellos.

1. Modelos de la serie X1

Distancia de ARP a APC = H + HL1 = 1,968 m - 1,9 m = 0,068 m

2. Modelo Y1

Distancia de ARP a APC = H + (HL1 + HL2) / 2 = 0,0634 m

Aunque los cálculos difieren entre los dos productos, ambos métodos son precisos y apropiados para sus respectivos sistemas.


Comprender el concepto del centro de fase de la antena y su posicionamiento preciso es crucial para garantizar el alto rendimiento y la estabilidad de su levantamiento GNSS. Ya sea que esté utilizando el modelo X1 o Y1 de SingularXYZ, saber cómo se calcula el APC le ayudará a lograr resultados precisos en su trabajo de campo.

Conozca más sobre los receptores GNSS SingularXYZ


Charla técnica | Cómo obtener mensajes NMEA de los kits de dirección automática de la serie SAgro
En la agricultura moderna, registrar y monitorear las operaciones de campo es esencial para una gestión agrícola y un análisis de datos eficientes. El software de dirección automática SingularXYZ puede registrar el área operada en tiempo real con una prec