Ir al contenido

Charla técnica | Evaluación de la precisión RTK en diferentes dimensiones

En el ámbito de la topografía, garantizar la precisión de sus mediciones es primordial. Comprender y evaluar la precisión de sus levantamientos RTK puede afectar significativamente sus resultados.

En el ámbito de la topografía, garantizar la precisión de sus mediciones es primordial. Ya sea que esté trabajando en proyectos cartográficos a gran escala o en determinaciones precisas de límites de propiedad, comprender y evaluar la precisión de su levantamiento RTK puede afectar significativamente sus resultados. Esta guía presenta fórmulas y conceptos esenciales para ayudarle a evaluar la incertidumbre en diversas dimensiones de las encuestas RTK, haciendo su trabajo más confiable y eficiente.


Precisión unidimensional

La precisión unidimensional mide el error real en mediciones individuales. Para evaluar esto utilizamos la siguiente fórmula, que considera los elementos diagonales Pxx, Pyy, Pzz de la matriz de covarianza PΔX:

En las coordenadas XYZ centradas en la Tierra y fijadas en la Tierra (ECEF), las desviaciones estándar (errores formales) de los componentes del vector estimado vienen dadas por:

Para lograr resultados más precisos en la topografía, a menudo es necesario transformar las coordenadas. Usando la matriz de transformación R de coordenadas ENU (Este-Norte-Arriba) a coordenadas XYZ:

Las desviaciones estándar en coordenadas ENU se definen como:


Precisión bidimensional

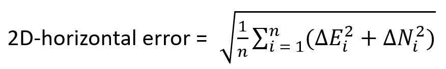
La precisión bidimensional normalmente se refiere a errores horizontales. El error horizontal se define mediante la siguiente fórmula:


Precisión tridimensional o multidimensional

La precisión tridimensional incluye las tres dimensiones espaciales. Está estrechamente relacionado con el concepto de dilución de precisión (DOP), que incluye PDOP, VDOP, HDOP, etc., que se utilizan comúnmente en levantamientos RTK. Consulte esta guía anterior para obtener más detalles sobre estos indicadores.

Charla técnica | ¿Qué precisión tiene su dispositivo GNSS? – Indicadores DOP


Errores de raíz cuadrática media (RMS)

Los errores RMS se utilizan comúnmente en el software de levantamiento RTK para especificar la precisión.

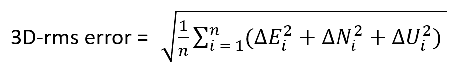
Consideremos ΔEi, ΔNi, ΔUi como los errores en los componentes Este, Norte y Vertical de la muestra de estimación de la posición i-ésima. Los errores RMS para precisión vertical, horizontal (bidimensional) y tridimensional se definen de la siguiente manera:

RMS verticales:

RMS horizontales:

RMS 3D:


Estas fórmulas proporcionan una manera integral de evaluar la precisión de su sistema RTK, asegurando que pueda confiar en sus mediciones para obtener resultados topográficos precisos y confiables.

Obtenga más información sobre los productos SingularXYZ RTK,




Informe de prueba | Rendimiento de Sfaira ONE en diferentes entornos
En este informe de prueba, evaluamos el rendimiento de la serie Sfaira ONE, según pruebas detalladas realizadas por usuario Ari Kilpelä, D.Sc., director ejecutivo de Dimense Oy, compartiendo su exactitud, precisión e inclinación en diferentes ento